Abstract
Phenolic resin foam features rapid foaming performance and high expansion ratio, enabling it to fill large cavities in coal mine caving zones in a very short time with certain supporting capacity. Foaming agents and additives are the main factors affecting phenolic resin foam. Physical foaming agents and chemical foaming agents were compared, and indicators such as expansion ratio, maximum reaction temperature, compressive strength, curing time and cell structure were tested. The results show that chemical foaming agents at the same dosage are superior to physical foaming agents, and better foaming effect can be achieved by mixing the two types. The expansion ratio of phenolic resin foam increases gradually with the addition of foaming agent; when the expansion ratio exceeds 40 times, its compressive strength will be lower than the standard requirement, so the optimal expansion ratio ranges from 25 to 40 times. The addition of high heat capacity additives can effectively reduce the maximum reaction temperature, but excessive addition will prolong the curing time of phenolic resin foam, resulting in slow molding and further affecting construction effect. Therefore, when the additive dosage is 10%–15%, the maximum reaction temperature can be effectively reduced with little impact on curing time.
Keywords: filling material; phenolic resin foam; reaction temperature; expansion ratio; curing time; cell structure
0 Introduction
In recent years, with the improvement of coal mining capacity, the increase of mining depth, and the large-scale application of fully-mechanized top-coal caving and other mining technologies, the number and distribution of coal mines under extremely broken and water-bearing surrounding rock geological conditions have been increasing year by year. Such surrounding rock has poor stability and is prone to large-area roof fall in coal mine roadways. Phenolic resin foam material used for coal mine filling and sealing can realize long-distance construction and rapidly fill large cavities in caving zones. After foaming and solidification, the foaming material can cement loose and broken coal and rock masses, playing roles of extrusion filling and bonding reinforcement. The cured foam has certain plastic deformation capacity, which can improve the overall strength of the coal seam roof. Under the dual action of advanced supporting pressure and dynamic pressure, the broken and loose roof will not suffer large-scale roof fall and coal wall spalling accidents. At present, such products are widely used in underground roof fall treatment, closed sealing walls and other projects.
In recent years, some foreign coal mines have also preferred phenolic resin filling materials in roof fall treatment, roadway plugging and other fields. For example, DSI (Poland) has specially designed phenolic resin filling materials with different reaction times and properties according to different geological conditions of underground coal mines; Minova International (Australia) mass-produces phenolic resin filling materials for cavity filling in underground mines of coal enterprises. SONG prepared multi-walled carbon nanotubes (MWCNTs) and graphene-reinforced phenolic foam and other nanoparticles to control cell morphology, and determined the optimal mass fraction of each particle according to foam cell morphology and thermodynamic properties. JAEHEON CHOE developed and optimized a new method for preparing low-density phenolic foam using microwave, studied the influence of phenolic resin viscosity and curing speed on foam density and uniformity, and evaluated the mechanical properties by measuring the tensile strength and fracture toughness of fiber-reinforced foam. ANUSHI SHARMA adopted a new method of modifying cobalt oxide (Co₃O₄) nanostructure with lightweight free-standing carbon foam (CF). The results show that after modifying CF with 10% Co₃O₄ NPs, the specific capacitance of CF is significantly improved. High specific capacitance and large energy density prove the potential application of carbon-Co₃O₄ modified foam materials in miniaturized and lightweight supercapacitors.
Yin Jinjie et al. prepared modified flame-retardant phenolic foam using ammonium polyphosphate, melamine and pentaerythritol as flame retardants, and polyethylene glycol and glass fiber modified phenolic resin as the matrix, and determined the influence of the dosage of polyethylene glycol and composite flame retardant on the properties of foam, which can reach the standard of B1 non-combustible material. Miao Changli et al. modified phenolic resin with polyamide and prepared polyamide-modified phenolic foam with different contents by chemical foaming method. It was found that when the polyamide content was 10%, the flexural strength reached the maximum, increased by about 81% compared with unmodified foam, and the cell structure was the best with uniform cell size. Ge Dongbiao et al. used two polyether modifiers—PEG and reactive polyether to toughen phenolic resin and its foam. Introducing flexible segments of reactive polyether into the resin can significantly improve the toughness and comprehensive properties of phenolic resin and its foam, among which the resin and foam modified by reactive polyether with a molecular weight of 1000 have the best properties. Ma Yufeng et al. studied the influence of catalysts on the properties of phenolic resin and its foam materials, and found that phenolic resin and its foam prepared with sodium hydroxide have the best comprehensive properties. Xu Liang et al. prepared polyurethane/phenolic foam by reacting polyurethane prepolymer with new phenolic resin. The results show that when the mass ratio of -NCO group to phenolic resin is 40:100, the foam has good volume stability, low shrinkage and far better toughness than pure phenolic foam.
Due to the particularity, variability and unpredictability of coal mining production environment, there are strict requirements for polymer chemical materials for on-site construction. Phenolic resin foam filling material is a polymer organic material, which releases high heat during the reaction, exerting a great impact on coal mine safety production. Filling large cavities requires as little material as possible to fill the entire space, preventing the unsupported roof from further caving. Meanwhile, the filling body must have certain strength to support the roof and prevent the expansion of the caving range. The expansion ratio of phenolic resin foam directly affects the material consumption and mechanical properties. The authors studied the influencing factors of the maximum reaction temperature and expansion ratio of phenolic resin foam, aiming to reduce the maximum reaction temperature to improve the safety of material construction, find an appropriate expansion ratio to achieve the most economical material consumption, and better ensure the filling effect after construction.
1 Experimental Study
1.1 Main Experimental Materials
Phenolic resin, industrial grade; Self-made curing agent component B, with main ingredients including p-toluenesulfonic acid, phosphoric acid, water, etc.; Foaming agents: cyclopentane, dichloromonofluoroethane (HCFC-141b), calcium carbonate, magnesium carbonate, industrial grade; Foam stabilizer F (fatty alcohol polyoxyethylene ether), industrial grade; Additive M (saccharide), industrial grade.
1.2 Preparation Process
At room temperature, phenolic resin, foaming agent, foam stabilizer and additive were mixed in a certain proportion and stirred for 20 minutes with a mixer to achieve uniform dispersion of all components, thus preparing component A of phenolic resin. Component A and component B of phenolic material for coal mine filling and sealing were weighed at a volume ratio of 4:1 with a total volume of 200 mL at an initial material temperature of 20 ℃, mixed by a mixing gun, and injected into a 5 L beaker or other container. The front test point of the thermocouple wire of an electronic thermometer was inserted into the center of the sample to record the maximum reaction temperature. After the foam surface dried, the sample was taken out from the mold to test various properties of the foam.
1.3 Performance Test
The apparent density was measured in accordance with GB/T 6343-2009 Cellular Plastics and Rubbers—Determination of Apparent Density. The compressive strength at 10%, 30% and 70% strain was tested according to GB/T 8813-2008 Rigid Cellular Plastics—Determination of Compression Properties. The expansion ratio, curing time and maximum reaction temperature were tested in accordance with the method for polymer foaming materials for coal mine filling and sealing specified in AQ/T 1090-2020 Polymer Foaming Materials for Coal Mine Filling and Sealing.
2 Experimental Research and Analysis
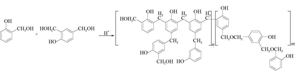
Component A of phenolic resin foam is mainly composed of phenolic resin, foaming agent, foam stabilizer and additive, while component B mainly consists of curing agent, water and inorganic acid. The reaction mechanism of phenolic resin is shown in Figure 1.

Figure 1 Reaction mechanism of phenolic resin
Phenolic resin foaming material for coal mine filling and sealing is formed by the reaction of component A and component B at a volume ratio of 4:1. Under the catalysis of acid, the hydroxymethyl group on one phenol nucleus in component A reacts with the hydrogen on hydroxymethylphenol on another phenol nucleus to remove water and formaldehyde, forming -CH₂-O-CH₂- bridge bonds and methylene bonds. Polycondensation releases heat and forms a long-chain consolidated body. The excess acidic hydrogen ions in component B react with calcium carbonate (foaming agent) to release a large amount of carbon dioxide, as shown in Equation (1):
2H++CO32−=CO2↑+H2O(1)
Under the wrapping of resin and the action of surfactant, the volume expands to form a dense and lightweight foam structure, and finally a dense consolidated body of phenolic resin foam is formed. Therefore, the main factors affecting the maximum reaction temperature include the content of phenolic resin, the dosage of foaming agent and other additives.
2.1 Influence of Foaming Agent on Expansion Ratio, Reaction Temperature and Mechanical Properties of Phenolic Foam
According to different gas generation modes during foaming, foaming agents for phenolic resin foam system are divided into physical foaming agents and chemical foaming agents. Physical foaming agents can be inert compressed gases, volatile low-boiling liquids or sublimable solids; chemical foaming agents are generally powdery compounds that can be evenly dispersed into polymers and undergo chemical reactions to produce a large amount of gas when heated, causing polymer foaming. Foaming agent is the main influencing factor of phenolic resin foam reaction, which has a great impact on the expansion ratio, cell structure and properties, and reaction temperature of phenolic foam. The dosage of foaming agent directly affects the expansion ratio, but excessive dosage will degrade other properties, so reasonable dosage needs to be determined through experiments.
2.1.1 Influence of Different Foaming Agents on Expansion Ratio
Four foaming agents were selected according to types, among which cyclopentane and HCFC-141b are physical foaming agents, and calcium carbonate and magnesium carbonate are chemical foaming agents. Chemical foaming agents can react with acidic substances in component B to generate carbon dioxide gas. Experimental samples were prepared by adding foaming agent and foam stabilizer to phenolic resin at a ratio of 90% phenolic resin, 8% foaming agent, 2% foam stabilizer and 1% additive, and reacted with component B to test the expansion ratio. The influence of different foaming agents on expansion ratio is shown in Table 1.
Table 1 Influence of different foaming agents on expansion ratio
| No. | Foaming agent type | Dosage/% | State after mixing | Expansion ratio/times |
|---|---|---|---|---|
| 1 | Cyclopentane | 8 | Turbid liquid | 11.8 |
| 2 | HCFC-141b | 8 | Turbid liquid | 20.3 |
| 3 | Calcium carbonate | 8 | Yellow suspension | 39.3 |
| 4 | Magnesium carbonate | 8 | Yellow viscous liquid | 34.4 |
| 5 | Calcium carbonate + Magnesium carbonate | 5+3 | Yellow suspension | 31.6 |
| 6 | HCFC-141b + Calcium carbonate | 5+3 | Yellow suspension | 35.7 |
It can be seen from Table 1 that physical foaming agents have relatively low expansion ratio and require more dosage to achieve the effect of powder foaming agents under the same conditions. When using chemical foaming agents, since the curing agent of phenolic resin is acidic, chemical reactions can occur during mixing. The reaction speed between hydrogen ions and carbonate ions is fast, which releases a large amount of heat while generating carbon dioxide gas. This heat accelerates the curing reaction of phenolic resin and the escape speed of carbon dioxide from the liquid. Therefore, chemical foaming agents can achieve a higher expansion ratio at the same dosage. Physical foaming agents only generate gas when the reaction temperature of phenolic resin and curing agent reaches or exceeds their boiling point, and absorb a large amount of heat during gasification, resulting in a lower expansion ratio of phenolic resin foam under the same dosage.
When physical foaming agents and chemical foaming agents are used in combination, the heat generated by the reaction of chemical foaming agents accelerates the gasification speed of physical foaming agents, and the expansion ratio of the final phenolic resin foam is basically equivalent to that of using chemical foaming agents alone. Since most chemical foaming agents are dry powder substances, precipitation and stratification will occur after long-term storage when the addition amount reaches a certain level, which will affect the uniformity of phenolic foam. The composite foaming agent of HCFC-141b and calcium carbonate has good foaming ratio, and a small amount of powder can be dissolved in the system by adding other additives without causing stratification. Therefore, the composite foaming agent of HCFC-141b and calcium carbonate is selected as the optimal one.
2.1.2 Influence of Foaming Agent Dosage on Maximum Reaction Temperature, Expansion Ratio and Compressive Strength
Different dosages of composite foaming agent were used to test its influence on the maximum reaction temperature and final foam expansion ratio. The influence of different foaming agent dosages on the reaction temperature and expansion ratio of phenolic resin foam is shown in Figure 2.

Figure 2 Influence of different foaming agent dosages on reaction temperature and expansion ratio of phenolic resin foam
It can be seen from Figure 2 that with the increase of foaming agent dosage, the expansion ratio increases gradually, while the maximum reaction temperature decreases accordingly. When the foaming agent dosage reaches 12%, the expansion ratio reaches 51 times, and the maximum reaction temperature drops from the initial 95.4 ℃ to 89.1 ℃. This is because the increase of foaming agent dosage can significantly improve the expansion ratio; more H⁺ in the curing agent is consumed by the chemical foaming agent during the reaction, thus reducing the maximum reaction temperature to a certain extent. However, excessive addition of foaming agent will lead to an overlarge expansion ratio and affect its mechanical properties. The larger the foaming volume of the same weight material, the worse the mechanical properties. To comprehensively investigate the influence of foaming agent dosage, the compressive strength of phenolic resin foam with different expansion ratios was tested.
Phenolic resin foam samples with different expansion ratios were made into cube specimens with a side length of 100±1 mm, and the compressive strength at 10%, 30% and 70% strain was tested in accordance with GB/T 8813-2008 Rigid Cellular Plastics—Determination of Compression Properties. The compressive strength of phenolic resin foam with different expansion ratios under different strains is shown in Figure 3.

Figure 3 Compressive strength of phenolic resin foam with different expansion ratios under different strains
It can be seen from Figure 3 that the compressive strength increases with the increase of strain; the overall compressive strength decreases gradually with the increase of expansion ratio. When the expansion ratio is greater than 40 times, the compressive strength of the foam will be lower than the standard requirement (compressive strength at 70% strain ≥ 40 kPa). When the expansion ratio is lower than 25 times, the material consumption for the same volume will increase. Therefore, controlling the expansion ratio at 25–40 times is optimal, which can save materials and meet the on-site construction strength requirements.
2.2 Influence of Additives on Reaction Temperature and Expansion Ratio
High heat capacity additives can absorb part of the intensively released reaction heat during the reaction to reduce the reaction heat. Under the condition of 8% foaming agent dosage, the addition range of additive M is 0–20%, and the dosage of phenolic resin decreases from 89% to 69%. The changes of curing time, maximum reaction temperature and expansion ratio during this process were tested, and the influence of different additive dosages on the properties of phenolic resin foam is shown in Figure 4.

Figure 4 Influence of different additive dosages on properties of phenolic resin foam
It can be seen from Figure 4 that with the increase of additive dosage, the expansion ratio changes little, the maximum reaction temperature decreases gradually, and the decrease is obvious (3–6 ℃) when the additive dosage is 10%–15%, but the curing time becomes longer at the same time. This is because the addition of high heat capacity additives can reduce the dosage of phenolic resin on the one hand, and effectively absorb the heat generated during the reaction on the other hand, slowing down the temperature rise rate and thus reducing the maximum reaction temperature. When the additive dosage is 15%, the maximum reaction temperature drops from the initial 95.4 ℃ to 91.5 ℃, the expansion ratio is 34.5 times with basically no change, and the curing time increases to 110 s. At 20% dosage, the maximum reaction temperature only drops to 91 ℃, the expansion ratio is 31.2 times, and the curing time increases to 140 s. Although the maximum reaction temperature decreases slightly, other properties are also lost. Since the curing time exceeding 120 s will lead to slow construction speed, excessive fluidity of the foam, and low stacking height of the foam which cannot fill the space, 15% addition amount is selected as the optimal one.
The temperature-time curves without additive and with 15% additive are shown in Figure 5. It can be seen that when the additive dosage is 15%, the initial reaction temperature rises significantly slower than that of ordinary phenolic resin foam. The maximum reaction temperature drops from the initial 95.4 ℃ to 91.5 ℃, reaching the peak at 110 s, which delays the time to reach the maximum reaction temperature and effectively reduces the maximum reaction temperature.

Figure 5 Temperature-time curves without additive and with 15% additive
Based on the above factors, 8% foaming agent dosage (5% HCFC-141b and 3% calcium carbonate in combination), 15% additive and an appropriate amount of foam stabilizer are selected to obtain phenolic resin foam with a maximum reaction temperature of 91.5 ℃ and an expansion ratio of 34.5 times. The cross-sectional SEM image of phenolic resin foam at this expansion ratio is shown in Figure 6.

Figure 6 Cross-sectional SEM image of phenolic resin foam
It can be seen from Figure 6 that the cross-section of phenolic resin foam shows uniform foam, most of the bubbles are closed-cell structure, the cell structure is nearly spherical, and the cell skeleton is in a uniform multi-layer state. This structure allows the foam to bear the pressure as a whole under compression without local damage.
2.3 Simulation Construction Process Experiment
According to the experimental method in Appendix A of Supplementary Safety Technical Requirements for In-situ Reaction Polymer Materials in Coal Mines (for Trial Implementation), 30 kg of component A was prepared with 86% phenolic resin, 5% HCFC-141b, 3% calcium carbonate, 15% additive and 1% foam stabilizer, and the simulation construction process experiment was carried out with 10 kg of component B. The material temperatures of component A and B were 23±2℃, and the ambient temperature was 25±5℃.
The experimental steps are as follows: component A and component B were mixed by a matching grouting device according to the specified ratio and grouting rate, and injected into a test box with internal dimensions of 1000 mm × 1000 mm × 1200 mm (length × width × height), with a total material amount of 40 kg. The flow rate and grouting time were recorded to determine the specified grouting amount, and the starting time of temperature change was recorded.
The test box was made of 5 mm thick solid wood thin plate, reinforced with wood strips of the same material for stability, and equipped with a sealing cover. The interior of the test box was fully paved with 0.2 mm thick PET film, the overlapping width of PET film was not less than 50 mm, and the overlapping part was sealed with glue in advance.
A gas collection hole and a grouting hole were respectively set at the top center and top corner of the closed test box. The slurry was vertically injected along the grouting hole. Three K-type thermocouples (accuracy ±2%) were arranged at the centroid position (calculated according to grouting material density, grouting amount, expansion ratio, bottom area of the test box, etc.) and fixed. The thermocouples were connected to the temperature collector when grouting started to collect temperature data. The schematic diagram of simulation construction process experiment is shown in Figure 7.

Figure 7 Schematic diagram of simulation construction process experiment
The simulation construction process experiment adopted a pneumatic grouting device to transport component A and component B at a volume ratio of 4:1. The materials were mixed by a static mixer at the grouting gun and injected into the empty box through the grouting pipe. The filling material reacted and foamed rapidly in the box to form a large-volume foam, which gradually filled the empty box with the increase of injected material amount. A thermometer was pre-set at the center of the box with the probe fixed at the centroid position to detect the temperature change of the foam. After the temperature dropped to near room temperature, the box was opened, and samples were taken from the foam to make 100 mm × 100 mm × 100 mm (length × width × height) specimens to test the expansion ratio and compressive strength.
The data obtained from the simulation construction process experiment are basically the same as those of laboratory small samples, which can meet the product performance requirements. The foaming ratio of phenolic resin foam can reach 35.6 times, and the compressive strength can also meet the standard requirements, effectively saving construction materials. The maximum reaction temperature of the simulation construction process experiment is 94.2 ℃, which meets the standard requirements and is lower than the spontaneous combustion point of most coal types in China, complying with the safety construction requirements of coal mines.
3 Conclusions
- The foaming efficiency of phenolic resin foam using physical foaming agents alone is relatively low, requiring more dosage to achieve the effect of chemical foaming agents under the same conditions. Chemical foaming agents can achieve a higher expansion ratio at the same dosage. The combination of chemical foaming agents and physical foaming agents can integrate the advantages of both and achieve better foaming effect.
- The expansion ratio of phenolic resin foam increases with the increase of foaming agent dosage, while the maximum reaction temperature decreases slightly. The increase of expansion ratio of phenolic resin foam will lead to the decrease of compressive performance. When the expansion ratio exceeds 40 times, its mechanical properties are lower than the standard requirements. Therefore, the optimal foaming agent dosage is 8%–10%, and the optimal expansion ratio is 25–40 times.
- The addition of high heat capacity additives can effectively reduce the maximum reaction temperature, but excessive addition will prolong the curing time of phenolic resin foam, resulting in slow foam molding and affecting construction effect. When the addition amount is 10%–15%, the maximum reaction temperature can be effectively reduced with little impact on other reaction properties.
- The phenolic resin foaming material prepared according to the optimal selection shows basically the same test results in simulation construction process experiment and laboratory small samples, which can meet the standard requirements.
Tests show that reducing the reaction temperature of phenolic resin foam can improve the construction safety of coal mine filling operation, effectively reduce the impact on the surrounding environment temperature, and expand the application scope of filling materials. An appropriate expansion ratio can meet the strength requirements of coal mine filling materials, save material consumption, reduce the cost of filling technology, and better support the efficient mining of coal mines.
